Отримуйте інформацію лише з офіційних джерел
Єдиний Контакт-центр судової влади України 044 207-35-46
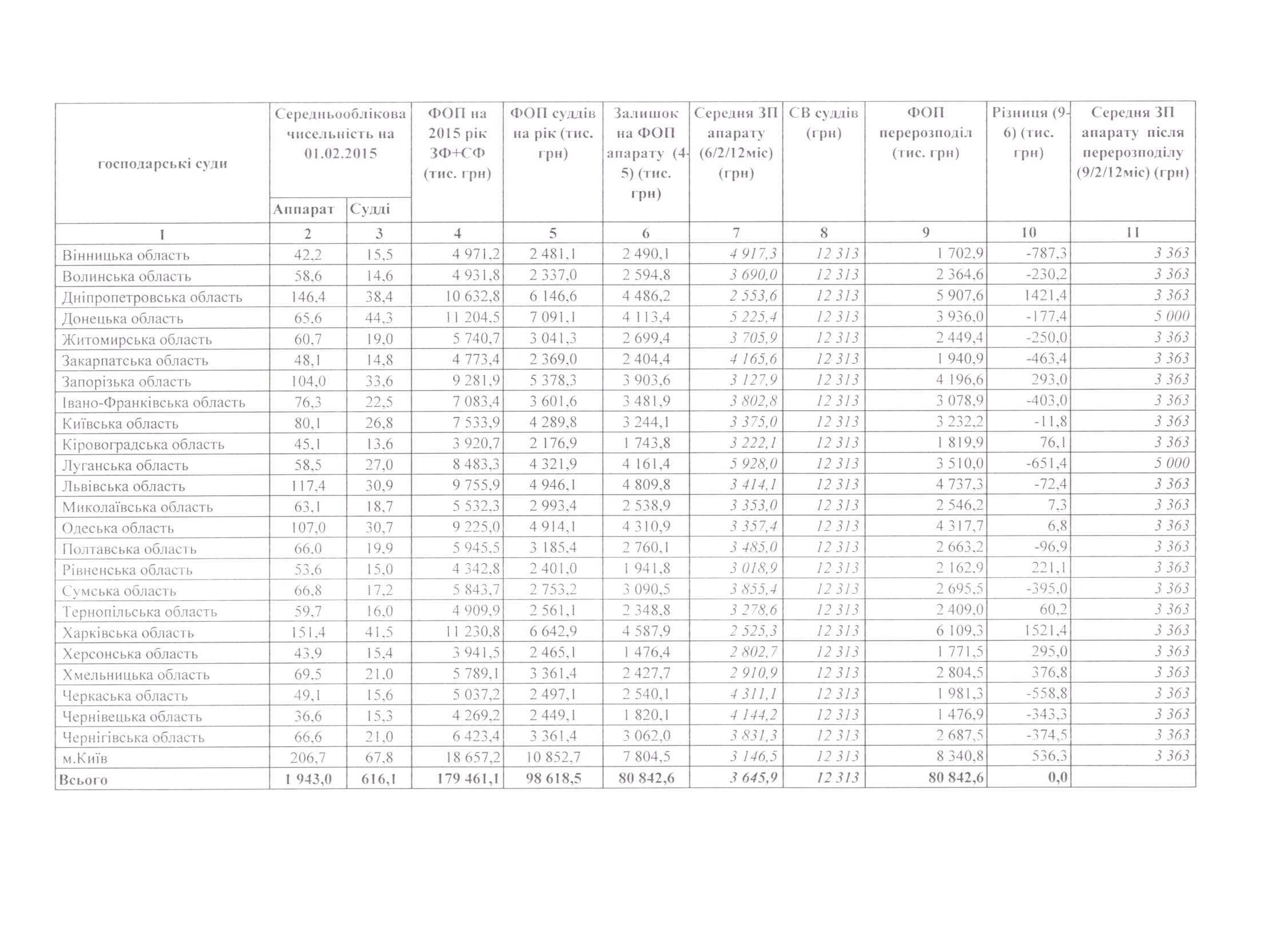
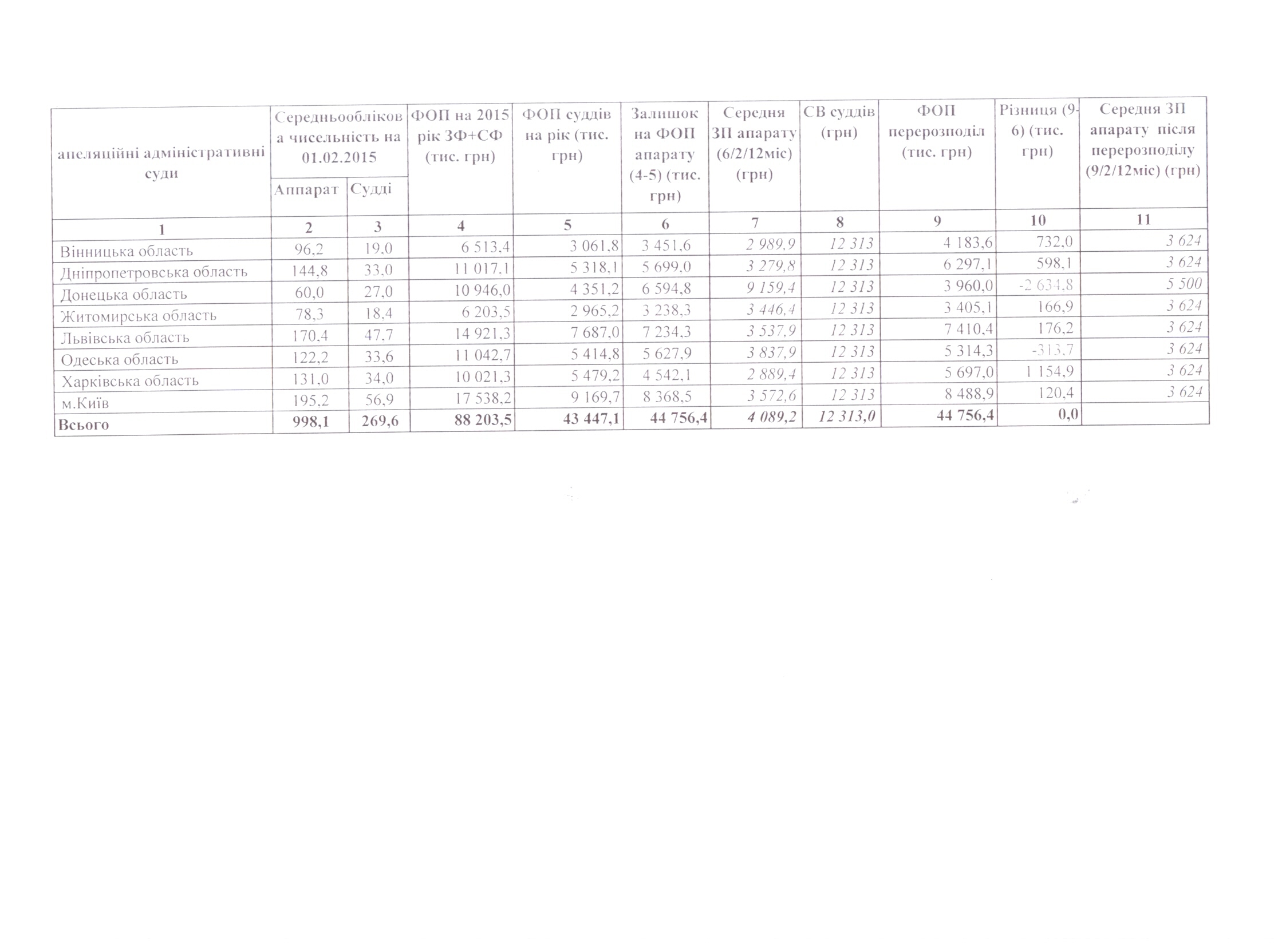
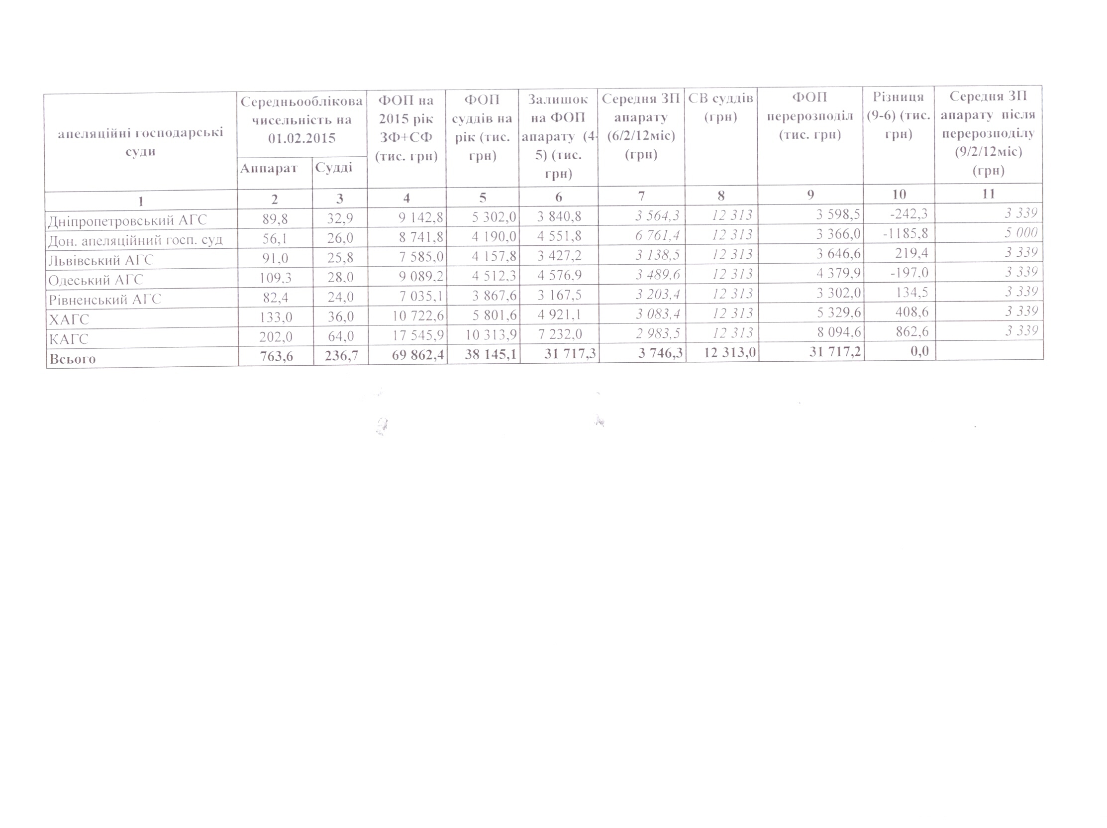
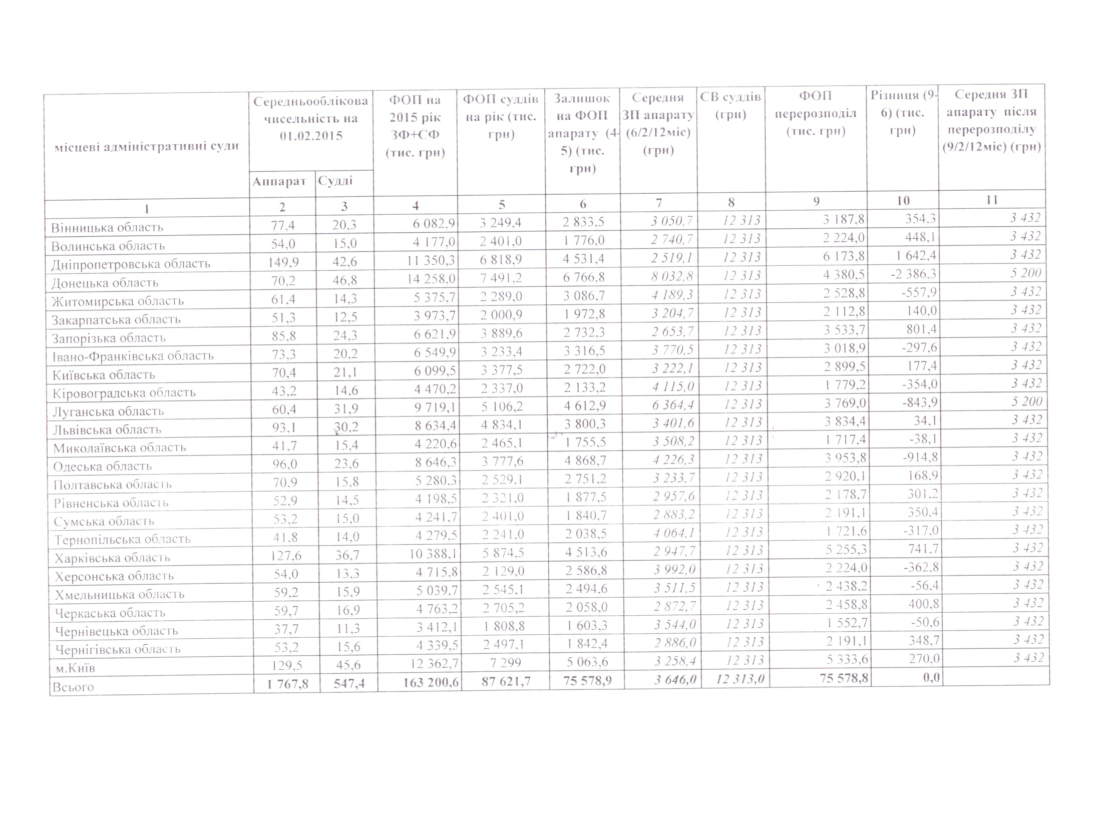
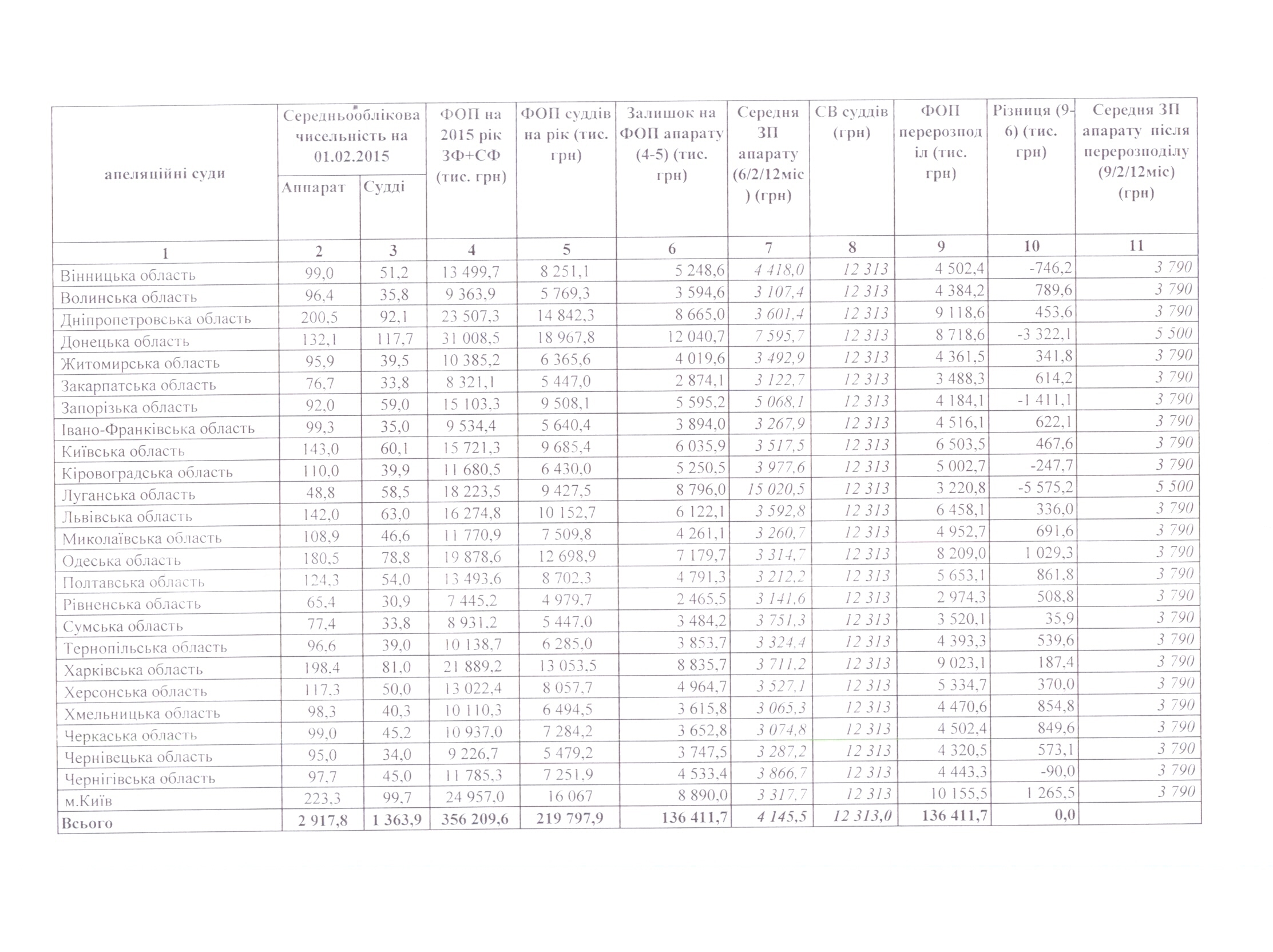
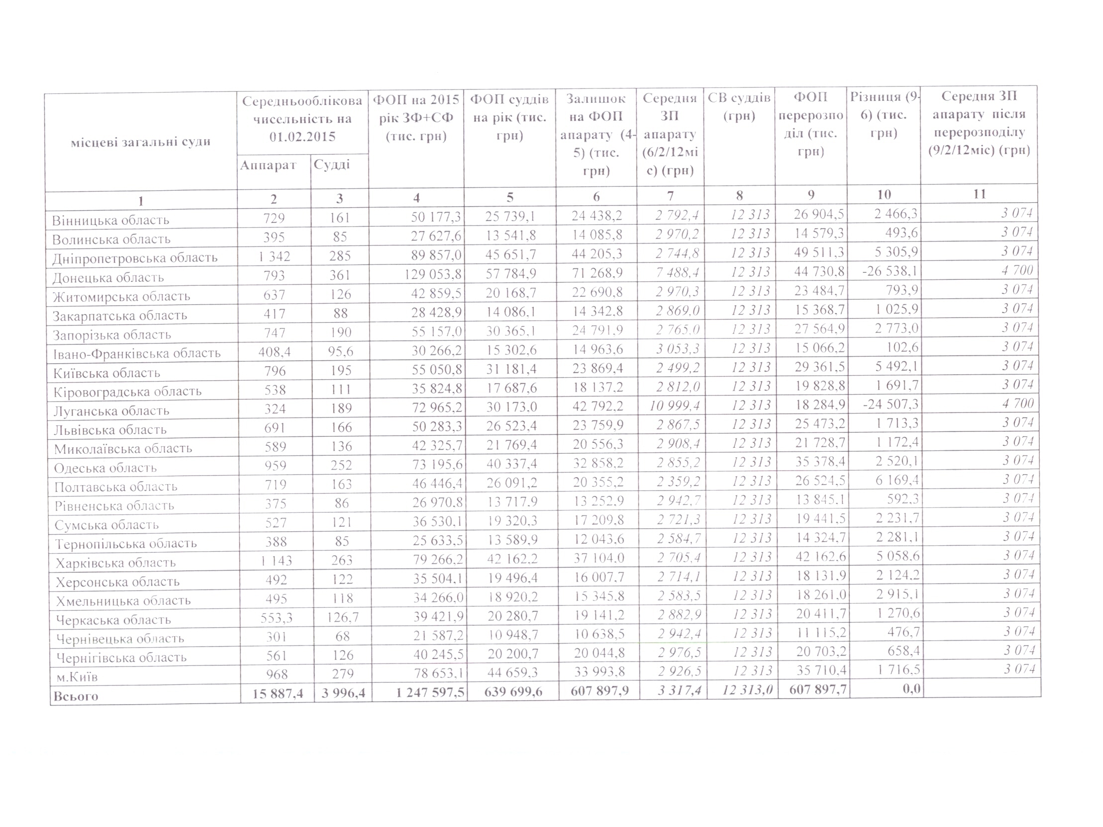
У березні 2015 року Держаною судовою адміністрацією України в межах бюджетної програми здійснено перерозподіл річного обсягу асигнувань на оплату праці між судами.
Проведення перерозподілу зумовлено неоднаковим рівнем заробітної плати працівників апаратів судів, що склався у зв’язку з істотними змінами у кількісному складі суддів та чисельності працівників апаратів судів. Зокрема, з урахуванням постанови Верховної Ради України "Про звільнення суддів" від 25.12.2014 № 59 та у зв'язку із скороченням чисельності працівників відповідно до вимог пункту 10 Прикінцевих положень Закону України "Про внесення змін та визнання такими, що втратили чинність, деяких законодавчих актів України".
Перерозподіл у межах бюджетної програми здійснено на єдиних засадах нарахування суддівської винагороди (10 мінімальних заробітних плат) та однакового розміру середньої заробітної плати працівників апарату судів.
У квітні 2015 року ДСА України планується проведення наступного перерозподілу асигнувань на оплату праці між судами в межах однієї бюджетної програми для забезпечення рівномірного розподілу фонду оплати праці. Відповідні зміни відбудуться у зв’язку зі змінами умов оплати праці суддів (набрання чинності Законом України "Про забезпечення права на справедливий суд"), а також із поточними змінами кількісного складу суддів та фактичної чисельності працівників апаратів судів.
Питання збільшення видатків на оплату праці у 2015 році буде вирішено за рахунок понадпланових надходжень судового збору до спеціального фонду державного бюджету з урахуванням фактичних обсягів надходжень від сплати судового збору в порівнянні з плановими показниками, а також залишку відкритих асигнувань за спеціальним фондом державного бюджету станом на кінець 2014 року.
Обсяг коштів, що додатково можуть бути направлені на забезпечення належного розміру заробітної плати працівників апаратів судів, залежатиме від обсягу понадпланових надходжень судового збору.
На підставі прогнозного обсягу понадпланових надходжень судового збору до спеціального фонду, ДСА України будуть розраховані індикативні показники фонду оплати праці на 2015 рік, на підставі яких розраховується орієнтовна сума додаткових коштів (понад 400 млн гривень), що будуть доведені кожному суду загальної юрисдикції окремо.
Крім того, за пропозицією ДСА України, для вирішення питання погашення кредиторської заборгованості за капітальними видатками були внесені зміни до Закону України "Про Державний бюджет України на 2015 рік", зокрема, збільшено видатки розвитку за рахунок зменшення видатків споживання.
Також зазначеними змінами були збільшені доходи спеціального фонду державного бюджету на 12 млн грн, спрямовані на видатки розвитку для відновлення діяльності місцевих та апеляційних судів Донецької та Луганської областей.
Апеляційні адміністративні суди
Зміни до Закону України "Про державний бюджет України на 2015 рік"

